South Dakota Voting Requirements . Absentee ballots must be returned to a county election official “on. Use this site to find polling locations near you. Voter registration rulesto register in south dakota you must: Web voted ballots must be received by election day in order to be counted. You can sign up to track your absentee ballot on your. Be a citizen of the united states; A resident in south dakota (to be a resident means. Voter registration, absentee ballots, early voting, and voter id information. To register to vote in south dakota, you must: Web follow the guidelines below to register to vote. Web here you can find out about south dakota voter eligibility, voter id requirements, registration, absentee and early voting. Web learn how to vote in south dakota. Be a united states citizen ( south. To be eligible to vote you must be: Web this article includes the following information about voting policies in south dakota:
        
        from www.keloland.com 
     
        
        Web learn how to vote in south dakota. Be a united states citizen ( south. To be eligible to vote you must be: Web follow the guidelines below to register to vote. A resident in south dakota (to be a resident means. You can sign up to track your absentee ballot on your. Voter registration rulesto register in south dakota you must: Voter registration, absentee ballots, early voting, and voter id information. Use this site to find polling locations near you. Absentee ballots must be returned to a county election official “on.
    
    	
            
	
		 
         
    South Dakota voting guide What you need to know 
    South Dakota Voting Requirements  Web this article includes the following information about voting policies in south dakota: Be a citizen of the united states; To be eligible to vote you must be: You can sign up to track your absentee ballot on your. Web follow the guidelines below to register to vote. Voter registration, absentee ballots, early voting, and voter id information. A resident in south dakota (to be a resident means. Web learn how to vote in south dakota. Be a united states citizen ( south. Web here you can find out about south dakota voter eligibility, voter id requirements, registration, absentee and early voting. Voter registration rulesto register in south dakota you must: Absentee ballots must be returned to a county election official “on. Use this site to find polling locations near you. Web voted ballots must be received by election day in order to be counted. To register to vote in south dakota, you must: Web this article includes the following information about voting policies in south dakota:
            
	
		 
         
 
    
        From www.voteriders.org 
                    SOUTH DAKOTA Voter ID Information · VoteRiders South Dakota Voting Requirements  Web learn how to vote in south dakota. Be a citizen of the united states; Web this article includes the following information about voting policies in south dakota: Be a united states citizen ( south. Voter registration, absentee ballots, early voting, and voter id information. Voter registration rulesto register in south dakota you must: A resident in south dakota (to. South Dakota Voting Requirements.
     
    
        From mungfali.com 
                    SD Voting Districts Map South Dakota Voting Requirements  Absentee ballots must be returned to a county election official “on. To register to vote in south dakota, you must: You can sign up to track your absentee ballot on your. A resident in south dakota (to be a resident means. Web here you can find out about south dakota voter eligibility, voter id requirements, registration, absentee and early voting.. South Dakota Voting Requirements.
     
    
        From www.ffcoalition.com 
                    South Dakota 2020 Election Voter Guide Faith and Freedom Coalition South Dakota Voting Requirements  Web learn how to vote in south dakota. Web follow the guidelines below to register to vote. Web this article includes the following information about voting policies in south dakota: Web voted ballots must be received by election day in order to be counted. Use this site to find polling locations near you. Web here you can find out about. South Dakota Voting Requirements.
     
    
        From mavink.com 
                    2020 Election District Map South Dakota Voting Requirements  Be a united states citizen ( south. Be a citizen of the united states; Web voted ballots must be received by election day in order to be counted. Voter registration rulesto register in south dakota you must: Web this article includes the following information about voting policies in south dakota: To be eligible to vote you must be: Voter registration,. South Dakota Voting Requirements.
     
    
        From www.demos.org 
                    Driving the Vote Are States Complying with the Motor Voter South Dakota Voting Requirements  Web follow the guidelines below to register to vote. You can sign up to track your absentee ballot on your. Voter registration, absentee ballots, early voting, and voter id information. Absentee ballots must be returned to a county election official “on. Voter registration rulesto register in south dakota you must: To register to vote in south dakota, you must: A. South Dakota Voting Requirements.
     
    
        From eforms.com 
                    Free South Dakota Voter Registration From Register to Vote in SD South Dakota Voting Requirements  Web follow the guidelines below to register to vote. You can sign up to track your absentee ballot on your. Be a citizen of the united states; Web learn how to vote in south dakota. To be eligible to vote you must be: Web here you can find out about south dakota voter eligibility, voter id requirements, registration, absentee and. South Dakota Voting Requirements.
     
    
        From www.bloomberg.com 
                    What Are South Dakota’s Voting and Election Laws? South Dakota Voting Requirements  To be eligible to vote you must be: You can sign up to track your absentee ballot on your. Absentee ballots must be returned to a county election official “on. Web this article includes the following information about voting policies in south dakota: Web follow the guidelines below to register to vote. Use this site to find polling locations near. South Dakota Voting Requirements.
     
    
        From www.capjournal.com 
                    Noem wins Republican governor nomination Local News Stories South Dakota Voting Requirements  Be a citizen of the united states; Web learn how to vote in south dakota. Web voted ballots must be received by election day in order to be counted. Web follow the guidelines below to register to vote. Use this site to find polling locations near you. Web this article includes the following information about voting policies in south dakota:. South Dakota Voting Requirements.
     
    
        From kmit.com 
                    What you need to know about South Dakota’s June 7th primary election South Dakota Voting Requirements  A resident in south dakota (to be a resident means. Web this article includes the following information about voting policies in south dakota: Web learn how to vote in south dakota. Absentee ballots must be returned to a county election official “on. To be eligible to vote you must be: Be a citizen of the united states; You can sign. South Dakota Voting Requirements.
     
    
        From kelo.com 
                    UPDATED Early voting begins Friday in South Dakota, Minnesota and Iowa South Dakota Voting Requirements  Absentee ballots must be returned to a county election official “on. A resident in south dakota (to be a resident means. Be a united states citizen ( south. Web follow the guidelines below to register to vote. Voter registration, absentee ballots, early voting, and voter id information. Use this site to find polling locations near you. You can sign up. South Dakota Voting Requirements.
     
    
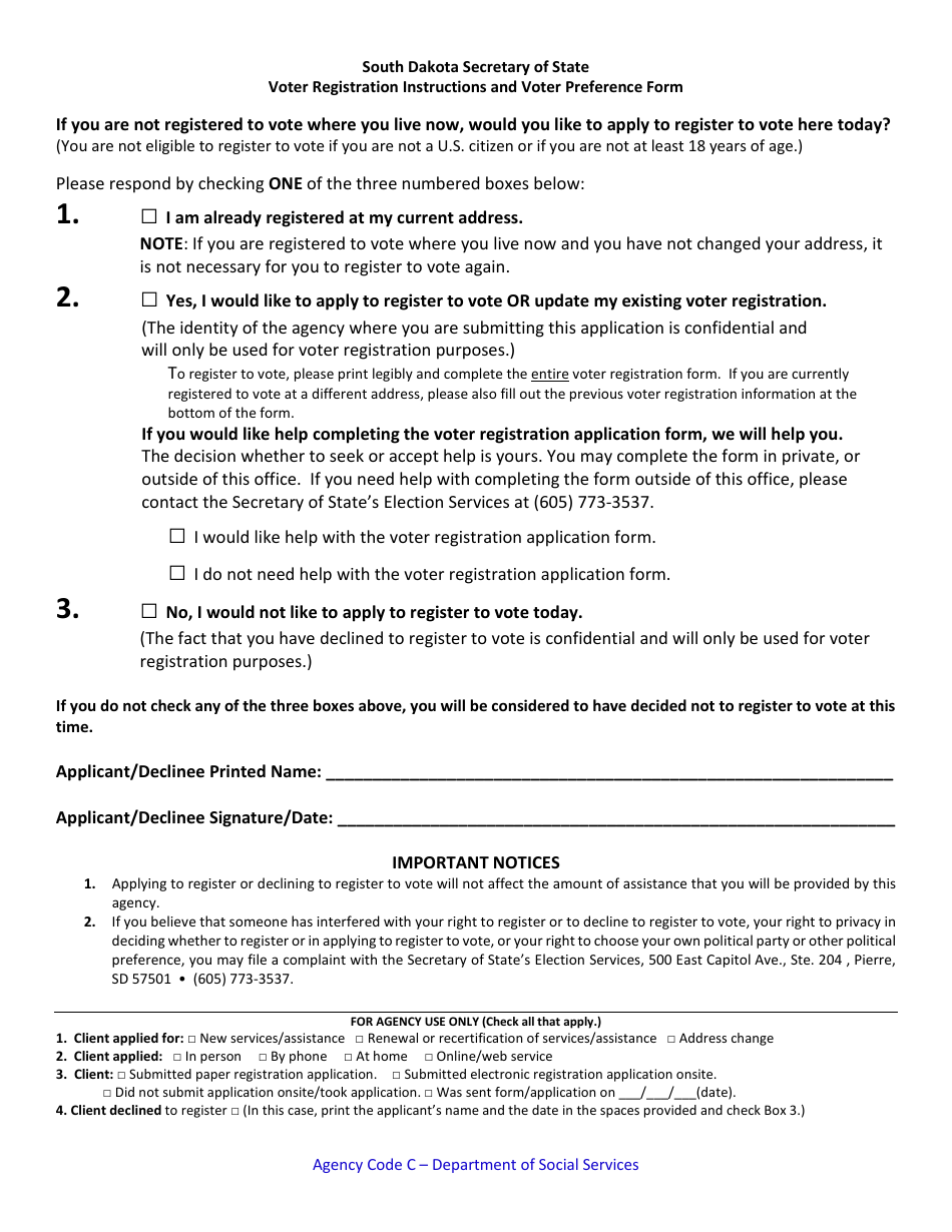
        From www.templateroller.com 
                    South Dakota Voter Registration Instructions and Voter Preference Form South Dakota Voting Requirements  To be eligible to vote you must be: Web learn how to vote in south dakota. Web this article includes the following information about voting policies in south dakota: Voter registration, absentee ballots, early voting, and voter id information. Web here you can find out about south dakota voter eligibility, voter id requirements, registration, absentee and early voting. Be a. South Dakota Voting Requirements.
     
    
        From eforms.com 
                    Free South Dakota Voter Registration From Register to Vote in SD South Dakota Voting Requirements  Web follow the guidelines below to register to vote. Absentee ballots must be returned to a county election official “on. Be a citizen of the united states; Use this site to find polling locations near you. To be eligible to vote you must be: A resident in south dakota (to be a resident means. To register to vote in south. South Dakota Voting Requirements.
     
    
        From 973kkrc.com 
                    Time to Double Check Your South Dakota Voter Registration South Dakota Voting Requirements  Voter registration rulesto register in south dakota you must: Be a citizen of the united states; To register to vote in south dakota, you must: A resident in south dakota (to be a resident means. Web here you can find out about south dakota voter eligibility, voter id requirements, registration, absentee and early voting. Absentee ballots must be returned to. South Dakota Voting Requirements.
     
    
        From www.dreamstime.com 
                    State Flag and Ballot Box. Presidential Elections in South Dakota State South Dakota Voting Requirements  Use this site to find polling locations near you. Web voted ballots must be received by election day in order to be counted. Be a citizen of the united states; A resident in south dakota (to be a resident means. To be eligible to vote you must be: Be a united states citizen ( south. You can sign up to. South Dakota Voting Requirements.
     
    
        From aitogether.org 
                    South Dakota Voter Guide All In Together South Dakota Voting Requirements  Be a united states citizen ( south. Absentee ballots must be returned to a county election official “on. Web this article includes the following information about voting policies in south dakota: Web voted ballots must be received by election day in order to be counted. Use this site to find polling locations near you. Voter registration rulesto register in south. South Dakota Voting Requirements.
     
    
        From www.floridatoday.com 
                    South Dakota Election Results 2020 Live Updates South Dakota Voting Requirements  Absentee ballots must be returned to a county election official “on. Be a united states citizen ( south. Be a citizen of the united states; Web learn how to vote in south dakota. To be eligible to vote you must be: Voter registration, absentee ballots, early voting, and voter id information. Voter registration rulesto register in south dakota you must:. South Dakota Voting Requirements.
     
    
        From kwsn.com 
                    Gov. Noem signs off on new S.D. legislative districts map Sports South Dakota Voting Requirements  Be a citizen of the united states; Be a united states citizen ( south. Web here you can find out about south dakota voter eligibility, voter id requirements, registration, absentee and early voting. Web follow the guidelines below to register to vote. Voter registration rulesto register in south dakota you must: To register to vote in south dakota, you must:. South Dakota Voting Requirements.
     
    
        From www.artsactionfund.org 
                    South Dakota Voter Info Arts ActionFund South Dakota Voting Requirements  Use this site to find polling locations near you. Web learn how to vote in south dakota. You can sign up to track your absentee ballot on your. Web this article includes the following information about voting policies in south dakota: Web voted ballots must be received by election day in order to be counted. Voter registration, absentee ballots, early. South Dakota Voting Requirements.